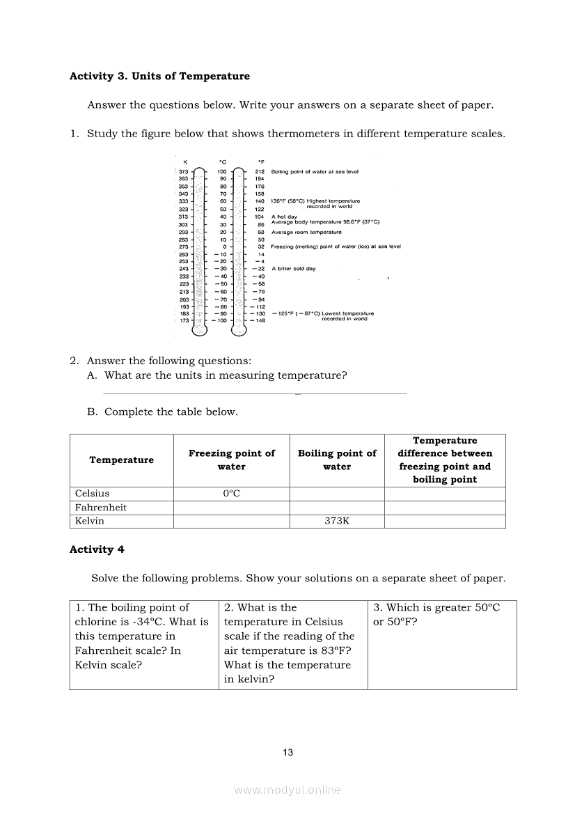
Science 8 Module 6: Heat and TemperatureApr 22, 2021 Grade 8Xiaomi Redmi Watch 5 Active 2inch LCD Display Clear Calling 5ATM Waterproof Smart Watch for only ₱3,999 ₱1,200!. Science 8RelatedCELL DIVISION MITOSIS AND MEIOSIS for Science Grade 8 Quarter 4 / Week 2BIODIVERSITY AND TRANSFER OF ENERGY IN AN ECOSYSTEM for Science Grade 8 Quarter 4 / Week 5MATERIAL CYCLES IN THE ECOSYSTEM For SCIENCE Grade 8 Quarter 4 / Week 6DIGESTIVE SYSTEM Its Parts and Functions For SCIENCE Grade 8 Quarter 4 / Week 1IMPACT OF HUMAN ACTIVITIES IN AN ECOSYSTEM For SCIENCE Grade 8 Quarter 4 / Week 7