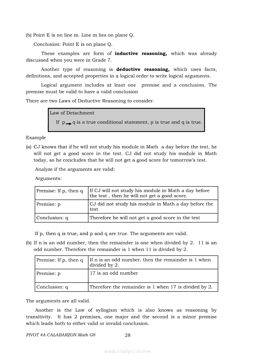
Math 8 Second Quarter Module (PIVOT)Apr 22, 2021 Grade 8Xiaomi Redmi Watch 5 Active 2inch LCD Display Clear Calling 5ATM Waterproof Smart Watch for only ₱3,999 ₱1,200!. Math 8RelatedMATHEMATICS Quarter 4 – Module 6 Basic Concepts of ProbabilityMATHEMATICS Quarter 4 – Module 8 Probability of an Event Experimental and TheoreticalMATHEMATICS Quarter 4 - Module 5 Parallel Lines and Perpendicular LinesMATHEMATICS Quarter 4 – Module 4 Properties of Parallel Lines Cut by a TransversalMATHEMATICS Quarter 4 – Module 1 Inequalities in Triangles