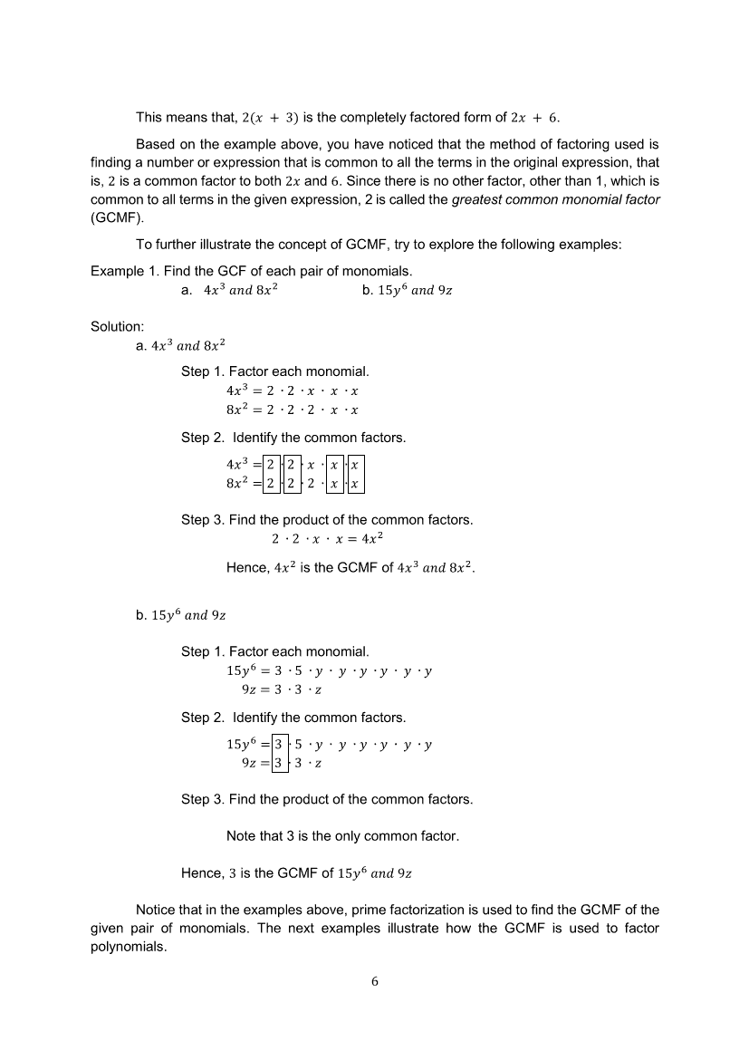
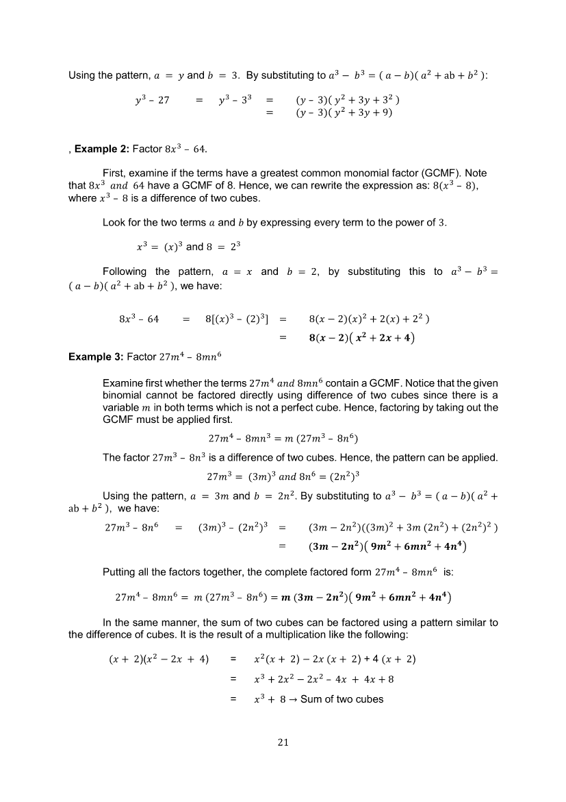
Math 8 Module 1A: Factoring PolynomialsApr 22, 2021 Grade 8Xiaomi Redmi Watch 5 Active 2inch LCD Display Clear Calling 5ATM Waterproof Smart Watch for only ₱3,999 ₱1,200!. Math 8RelatedMATHEMATICS Quarter 4 - Module 5 Parallel Lines and Perpendicular LinesMATHEMATICS Quarter 4 - Module 3 Proving Inequalities in a TriangleMATHEMATICS Quarter 4 – Module 2 Theorems on Triangle InequalitiesMATHEMATICS Quarter 4 – Module 7 Probabilities of Simple EventsMATHEMATICS Quarter 4 – Module 4 Properties of Parallel Lines Cut by a Transversal