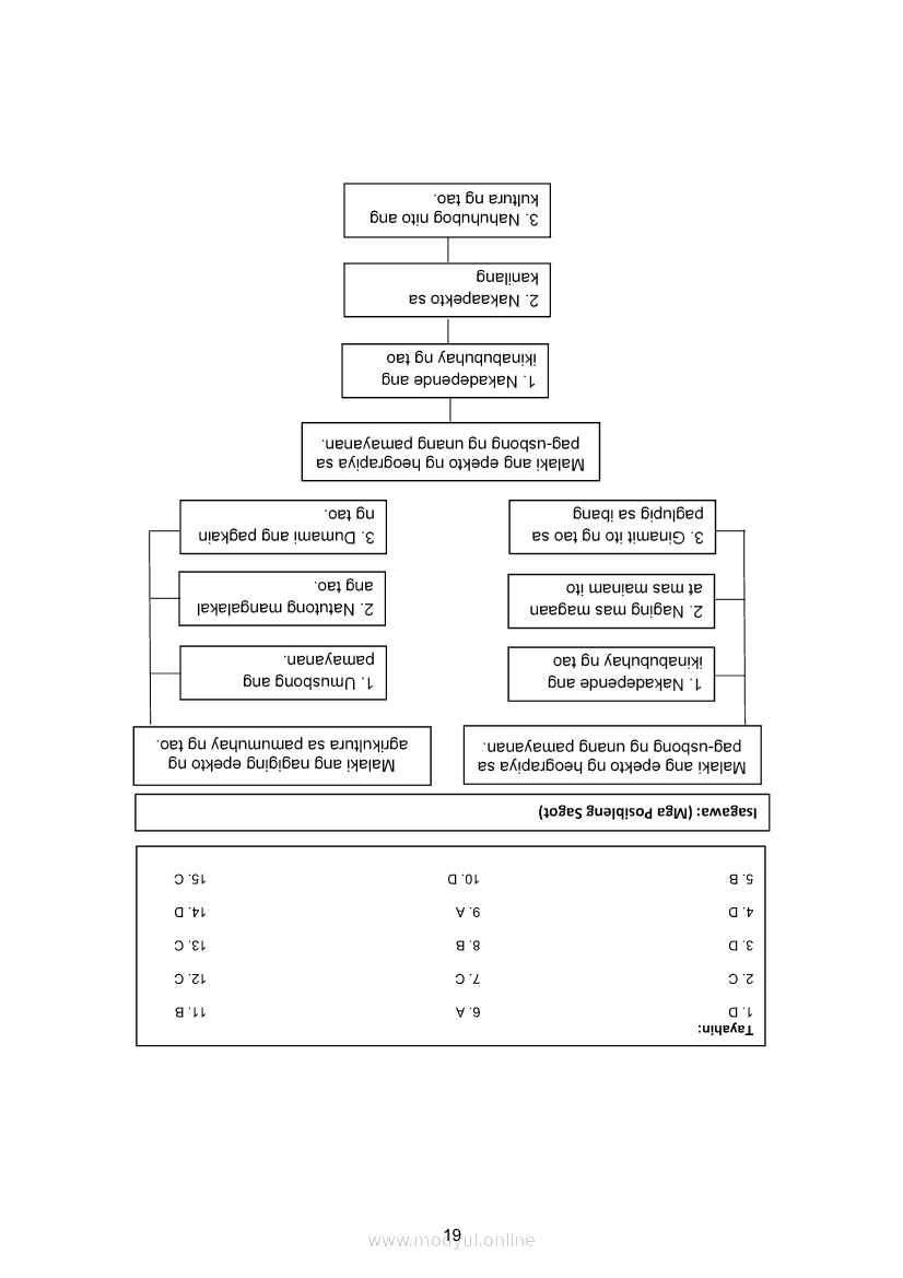
Araling Panlipunan 8 Modyul 3: Yugto ng Pag-unlad ng Kultura sa Panahong PrehistorikoApr 22, 2021 Grade 8Xiaomi Redmi Watch 5 Active 2inch LCD Display Clear Calling 5ATM Waterproof Smart Watch for only ₱3,999 ₱1,200!. Araling Panlipunan 8RelatedAraling Panlipunan Ikaapat na Markahan – Modyul 6: Iba’t Ibang Ideolohiyang Politikal at EkonomikoAraling Panlipunan Ikaapat na Markahan - Modyul 5: Ang Mga Bansang Nagkakaisa ( United Nations)Araling Panlipunan Ikaapat na Markahan – Modyul 2: Ang Unang Digmaang Pandaigdig (Mga Naging Bunga)Araling Panlipunan Ikaapat na Markahan – Modyul 7 EPEKTO NG MGA IDEOLOHIYA, NG COLD WAR AT NEOKOLONYALISMO SA IBA’T IBANG BAHAGI NG DAIGDIGAraling Panlipunan Ikaapat na Markahan – Modyul 1: Mga Dahilan, Mahahalagang Pangyayaring Naganap sa Unang Digmaang Pandaigdig